• Предмет: Математика
  • Автор: yana12345zvezda
  • Вопрос задан 2 года назад

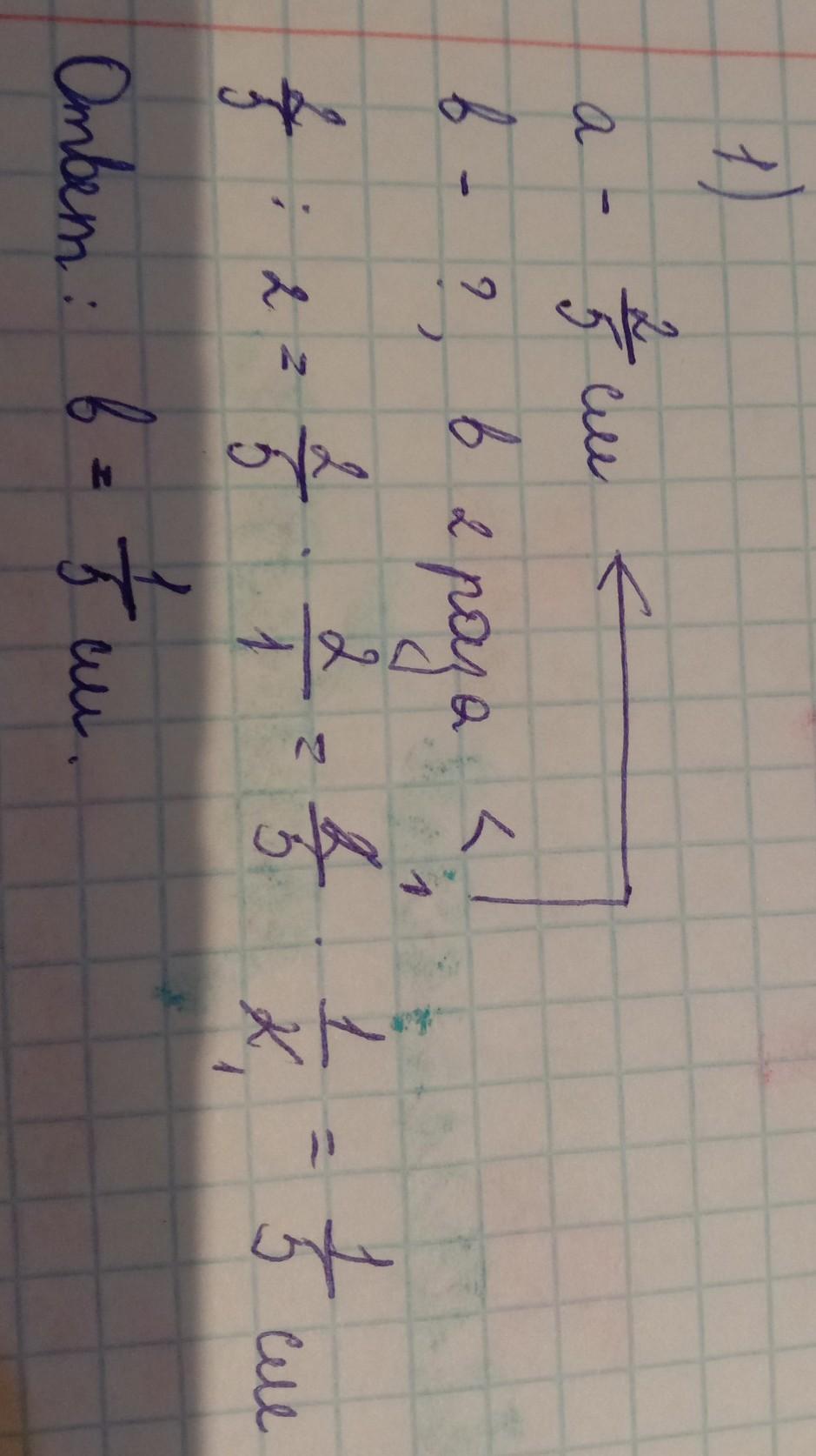
1)найдите площадь прямоугольника если его длина равна 2/5см а ширина в 2 раза меньше


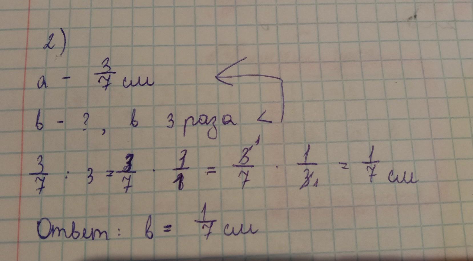
2)найдите площадь прямоугольника если его длина 3/7см,а его ширина, в 3 раза меньше​

Ответы

Ответ дал: aselyabis
2

Ответ: Ширина = 1/5 см

1. Длина- 2/5 см

Ширина-? , в 2 раза < длины

2/5 : 2 = 2/5 • 2/1 = 2/5 •1/2= 1/5 см

Ответ: Ширина = 1/7 см

2. Длина- 3/7 см

Ширина-? , в 3 раза < длины

3/7 :3 = 3/7 • 3/1 = 3/7 • 1/3 = 1/7 см

Приложения:
Вас заинтересует