• Предмет: Алгебра
  • Автор: golovchukvarvara99
  • Вопрос задан 2 года назад

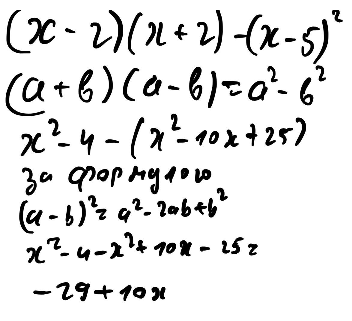
(x-2)(x+2) - (x - 5)² упрастите выражение
на уровне 7 класса пожалуйста​

Ответы

Ответ дал: akimachinskiy
1
-29+10x необходимо минимум 20 символов потерну просто что-то пишу смотри фото там ответ
Приложения:
Вас заинтересует