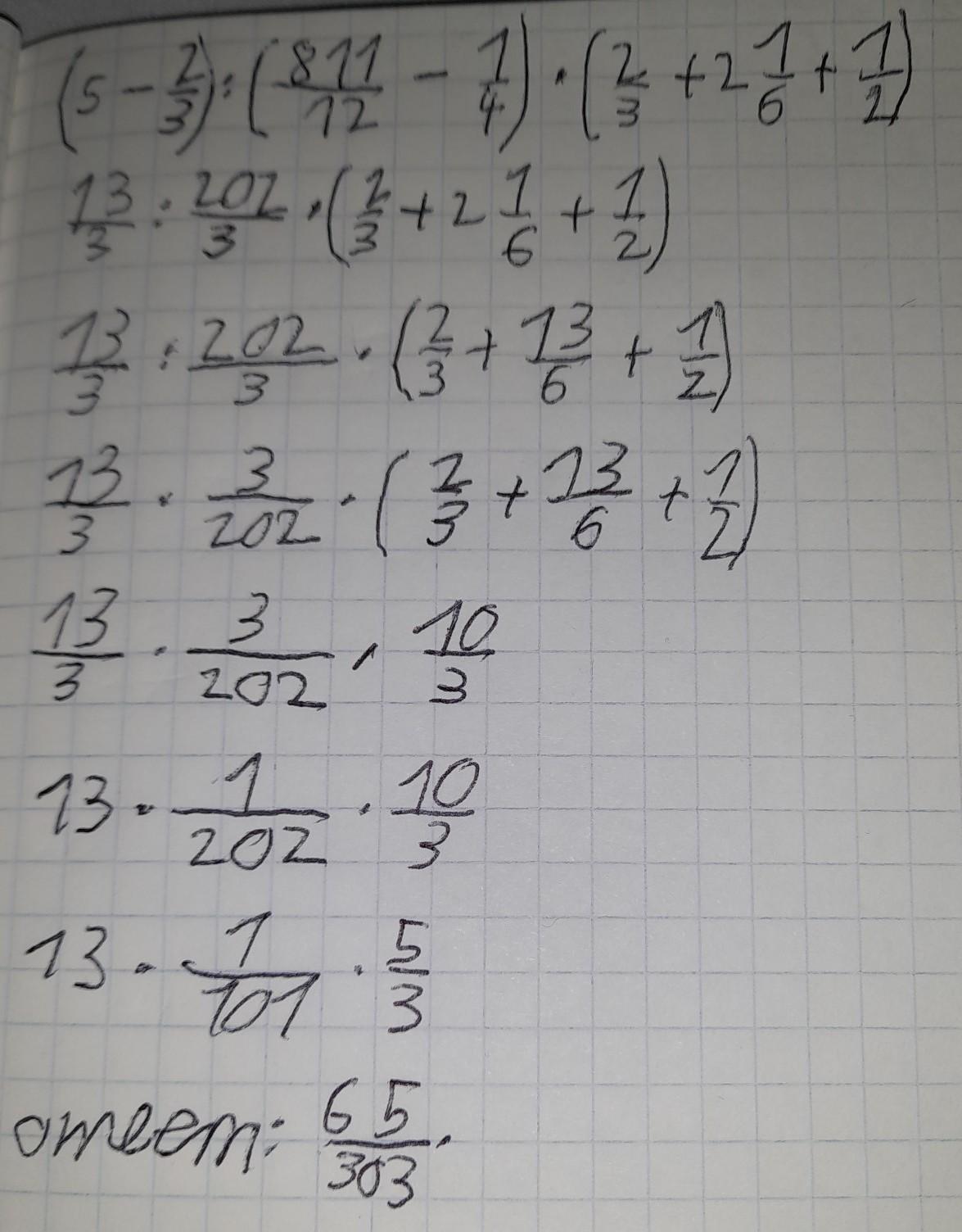
6. Вычислите: (5-2/3):(811/12-1/4)×(2/3+2 1/6+1/2)=?

ответ поставь лайк и сердце
это с 5 по 9 класс
Ответы
Ответ дал:
0
Ответ:
смотри на фото.
Пошаговое объяснение:
........
Приложения:

Вас заинтересует
1 год назад
1 год назад
1 год назад
3 года назад
3 года назад
8 лет назад