• Предмет: Математика
  • Автор: mereybibinyr
  • Вопрос задан 2 года назад

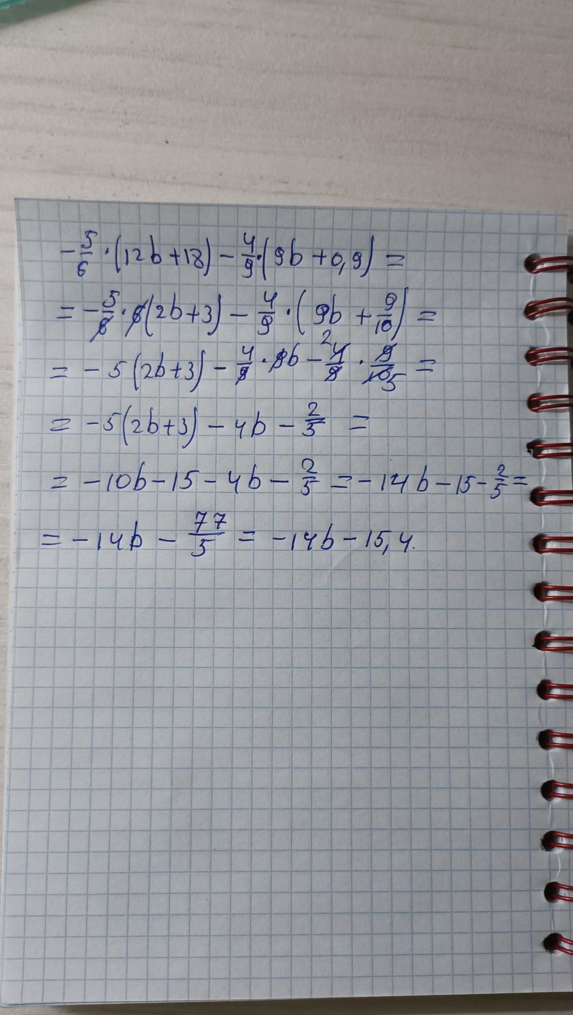
- 5/6 * (12b + 18) - 4/9 * (9b + 0, 9) по действиям все показывать все по действиям и не берите с инета там все не правельные МНЕ НУЖНО ТОЛЬКО ПО ДЕЙСТВИЯМ!

Ответы

Ответ дал: mirshodbek1205
1

Ответ:

- 14b - 77/5 = -14b -15,4

пошаговое объяснение на фотке

Приложения:
Вас заинтересует