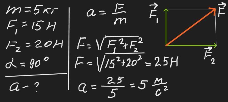
Визначте модуль прискорення тіла масою 5 кг під дією двох взаемно
перпендикулярних сил, модулі яких дорівнюють 15 і 20 Н.
Ответы
Ответ дал:
0
Відповідь: 5 м/с²
Пояснення:
Приложения:

Вас заинтересует
1 год назад
1 год назад
1 год назад
1 год назад
3 года назад
8 лет назад