• Предмет: Алгебра
  • Автор: Chifoy
  • Вопрос задан 2 года назад

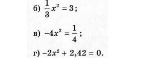
Решите уравнение:

Плиз

Приложения:

Ответы

Ответ дал: svetlanavaslarionova
1

Ответ:

б)1/3х²=3; х²=9;х1=-3;х2=3

в)-4х²=1/4; х²=1/4:(-4); корней нет

г)-2х²+2,42=0; -2х²=-2,42;х²=1,21; х1=-1,1;х2=1,1

Вас заинтересует