• Предмет: Математика
  • Автор: Genifd
  • Вопрос задан 2 года назад

Как находить полощадь прямого триугольника

Ответы

Ответ дал: utgh2012
1

Ответ:

Пошаговое объяснение:

а×в/2

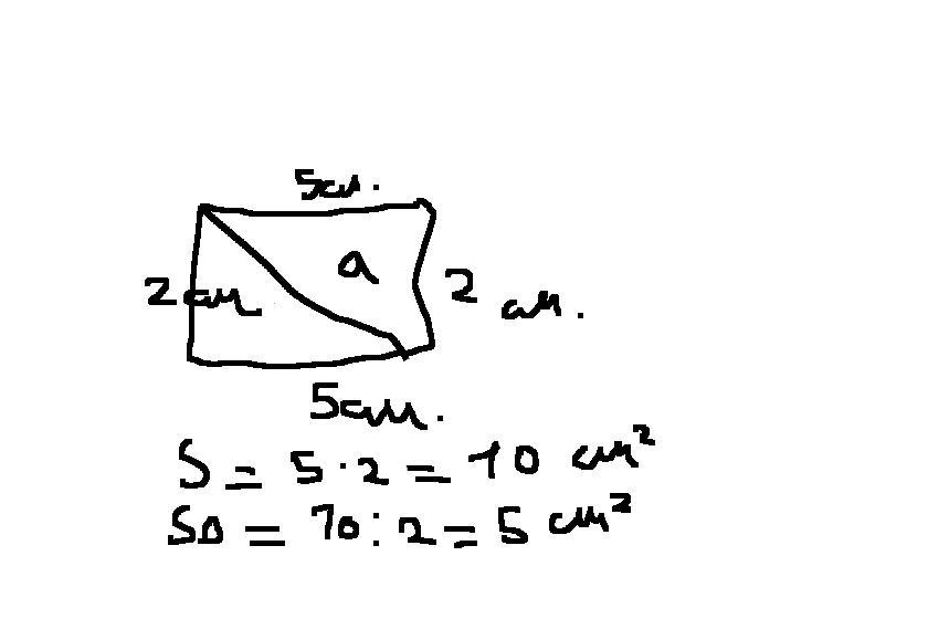
Ответ дал: martashpikalova
0

Ответ:

Пошаговое объяснение:

Приложения:
Вас заинтересует