• Предмет: Математика
  • Автор: Origamilan
  • Вопрос задан 2 года назад

Нужно решить 5 и 6
Помогите пж

Приложения:

Ответы

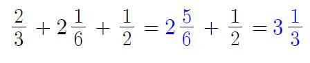
Ответ дал: maximkaps
0

1 картинка= 5 задание

2,3,4,5=6 задание;

Приложения:
Вас заинтересует