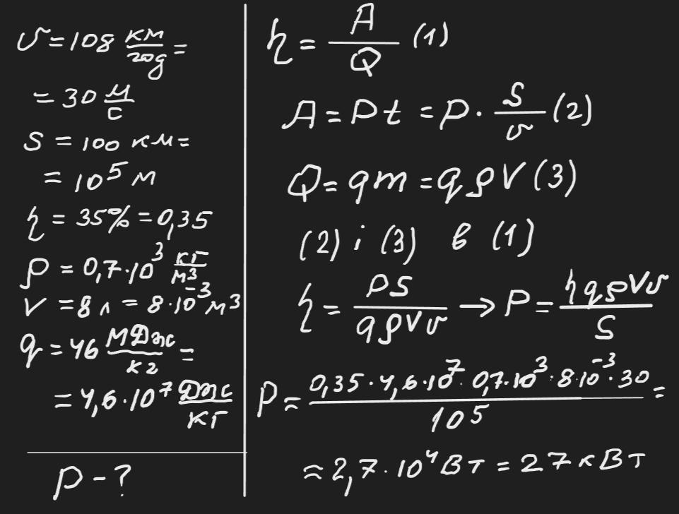
Визначте потужність двигуна автомобіля, якщо при середній швидкості руху
108 км/год втрати бензину становлять 8 л на 100 км шляху.ККД двигуна 35%.
Питома теплота згоряння бензину 46 МДж/кг
даю 80 баллов!
Ответы
Ответ дал:
2
Відповідь: ≈ 27 кВт
Пояснення:
Приложения:

neanderthal:
допоможыть, будь ласка.
Вас заинтересует
1 год назад
1 год назад
3 года назад
8 лет назад
8 лет назад