• Предмет: Математика
  • Автор: Asusuki
  • Вопрос задан 2 года назад

Довести вірність тотожності
(1^2/1*3)+(2^2/3*5)+...+(n^2/(2n-1)*(2n+1))=n(n+1)/2(2n+1)

Ответы

Ответ дал: ksyusshaa
0

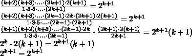
Ответ:Применим индукцию. Запишем равенство для n=k, предполагаю его доказанным, и покажем, что тогда оно верно и для n=k+1, учитывая то, что при n=1 получаем верное равенство.

Пошаговое объяснение:

доказано.

Приложения:

Asusuki: 100% правильно?
Вас заинтересует