СРОЧНО! Помогите пожалуйста
Приложения:

Ответы
Ответ дал:
0
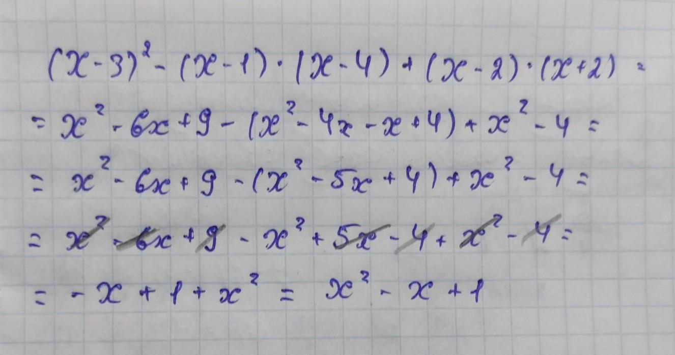
Ответ: -х+1
Объяснение:(х - 3)² - (х-1)(х - 4) + (х - 2)(х + 2) = х²-6х+9 - (х²-4х-х+4) + +(х²- 4) =х²-6х+9 - х²+4х+х-4+х²- 4 = -х + 1
Ответ дал:
1
Ответ:
Желаю удачи, солнышко!
Приложения:

Вас заинтересует
1 год назад
1 год назад
1 год назад
3 года назад
3 года назад
8 лет назад
Объяснение:(х - 3)² - (х-1)(х - 4) + (х - 2)(х + 2) = х²-6х+9 - (х²-4х-х+4) + +(х²- 4) =х²-6х+9 - х²+4х+х-4+х²- 4 = -х + 1