• Предмет: Алгебра
  • Автор: karina20002010
  • Вопрос задан 10 лет назад

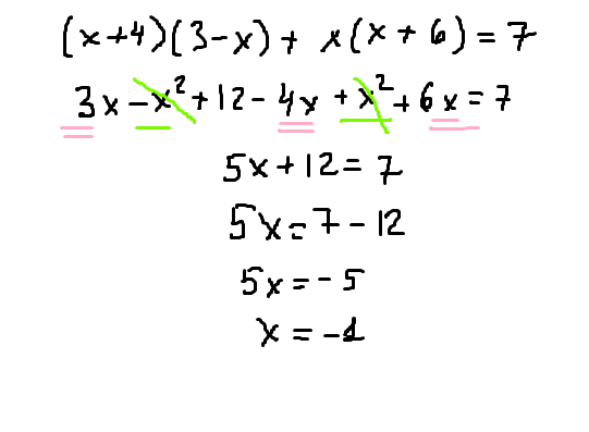
Найдите значение х,при котором сумма значения выражений (х+4)(3-х) и х(х+6) равна 7.

Ответы

Ответ дал: esmilya
0
Если понравилось решение - нажимай "спасибо" и "лучший" (рядом с кнопкой "спасибо") :)
Приложения:
Вас заинтересует