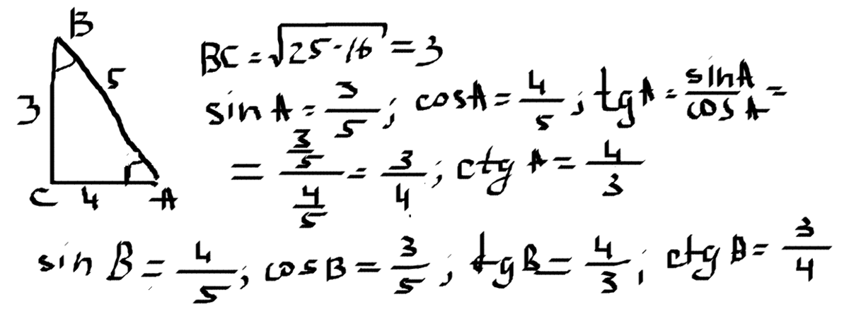
В треугольнике ABC угол C=90 градусов AC=4 см AB=5 см.Найдите sin a,cos a,tg a,sin b,cos b,tg b.
Ответы
Ответ дал:
0
Решение во вложениях))))))))))))))))))))
Приложения:

Ответ дал:
0
Решение лучший!
Ответ дал:
0
Красиво рисуешь :D
Спасибо)
Спасибо)
Ответ дал:
0
))
Ответ дал:
0
Хочешь ещё 1?)
Ответ дал:
0
Что именно?)
Вас заинтересует
2 года назад
2 года назад
8 лет назад
8 лет назад
10 лет назад
10 лет назад