• Предмет: Алгебра
  • Автор: l87358723
  • Вопрос задан 2 года назад

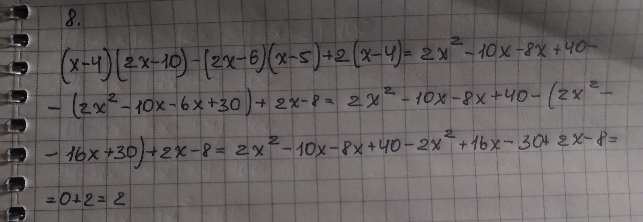
Срочноо помогите!!!!!!​

Приложения:

Ответы

Ответ дал: goodmen66612
1

Объяснение:

Сподіваюсь, допомогла!

Приложения:
Вас заинтересует