• Предмет: Математика
  • Автор: morarn73
  • Вопрос задан 2 года назад

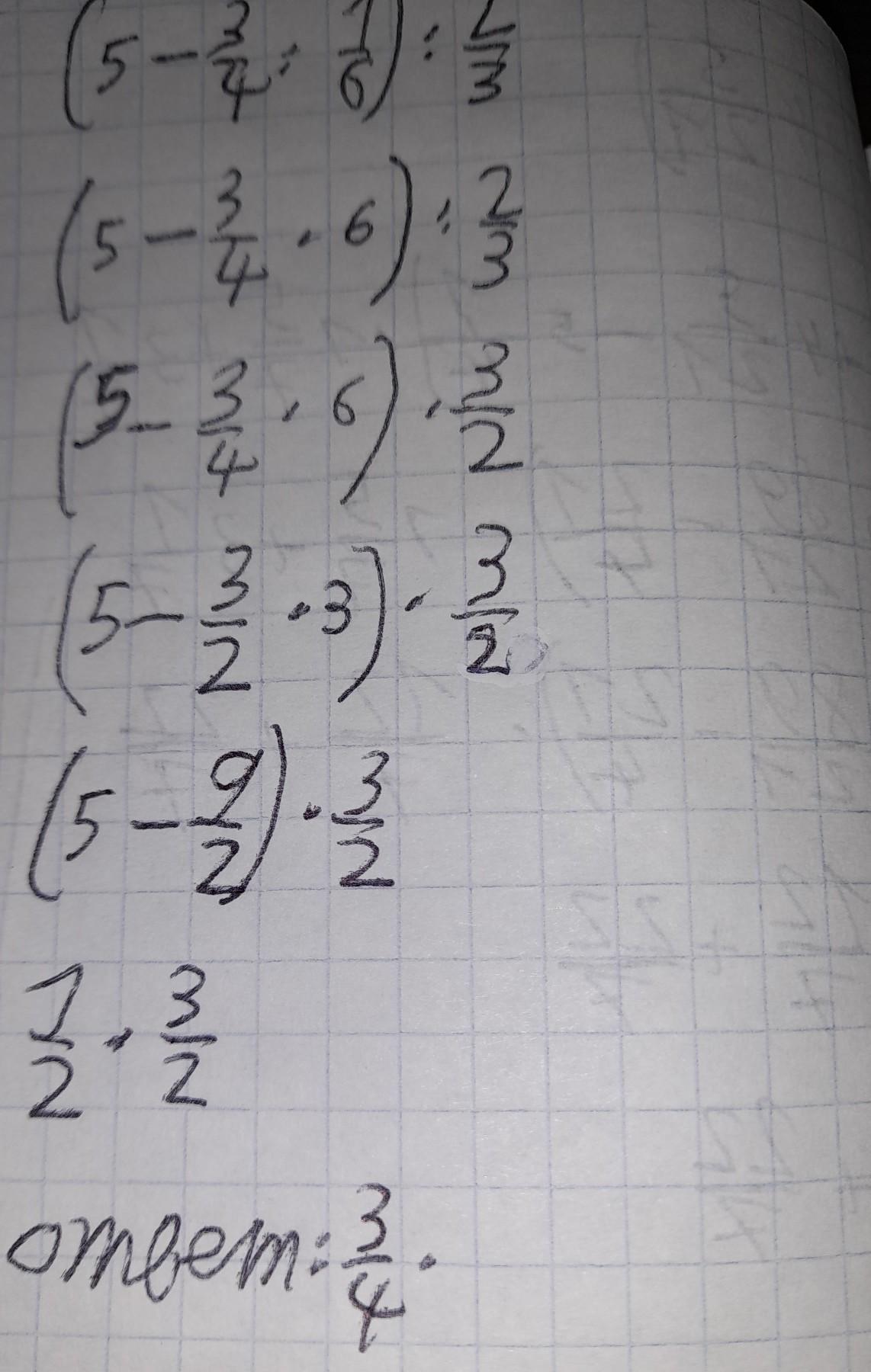
(5-3/4:1/6):2/3 пж помогите срочно!!!!!!!!!!!!!!!!!!!!!!!!!!!!!!!!!!!!!!!!!!!!!!!!!!!!!!!!11

Ответы

Ответ дал: shorom
2

Ответ:

смотри на фото

Пошаговое объяснение:

........

Приложения:
Вас заинтересует