• Предмет: Алгебра
  • Автор: AnyQune
  • Вопрос задан 2 года назад

100 баллов.
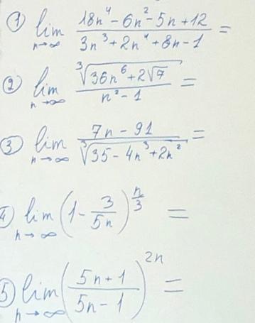
Найдите пределы любые 3, но можно и 5. Пожайлуста распишите подробно

Приложения:

Ответы

Ответ дал: filuksistersp735lh
0

Ответ:

1)9 \\ 2) {6}^{ \frac{2}{3} }  \\ 3) -  \frac{7}{ \sqrt[3]{4} }  \\ 4) \frac{1}{ \sqrt[5]{e} }  \\5 ) {e}^{ \frac{4}{5} }

Объяснение:

на фото

Приложения:
Вас заинтересует