• Предмет: Математика
  • Автор: d22812345
  • Вопрос задан 2 года назад

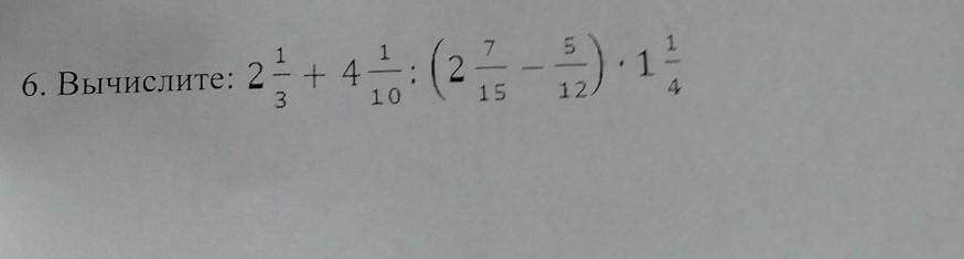
ран помогите 200 даю​

Приложения:

kira9023: Фото не прикрепилочь
d22812345: блииин
d22812345: слч
d22812345: соч

Ответы

Ответ дал: iramazurk
0

Ответ:

4 5/6

Пошаговое объяснение:

1) 2 7/15 - 5/12 = 2 28/60 - 25/60 = 2 3/60 = 2 1/20

2) 4 1/10 : 2 1/20 = 41/10 : 41/20 = 41/10 * 20/41 = 1/1 * 2/1 = 2/1 = 2

3) 2 * 1 1/4 = 2 * 5/4 = 10/4 = 5/2 = 2 1/2

4) 2 1/3 + 2 1/2 = 2 2/6 + 2 3/6 = 4 5/6

Вас заинтересует