• Предмет: Алгебра
  • Автор: svradko7
  • Вопрос задан 2 года назад

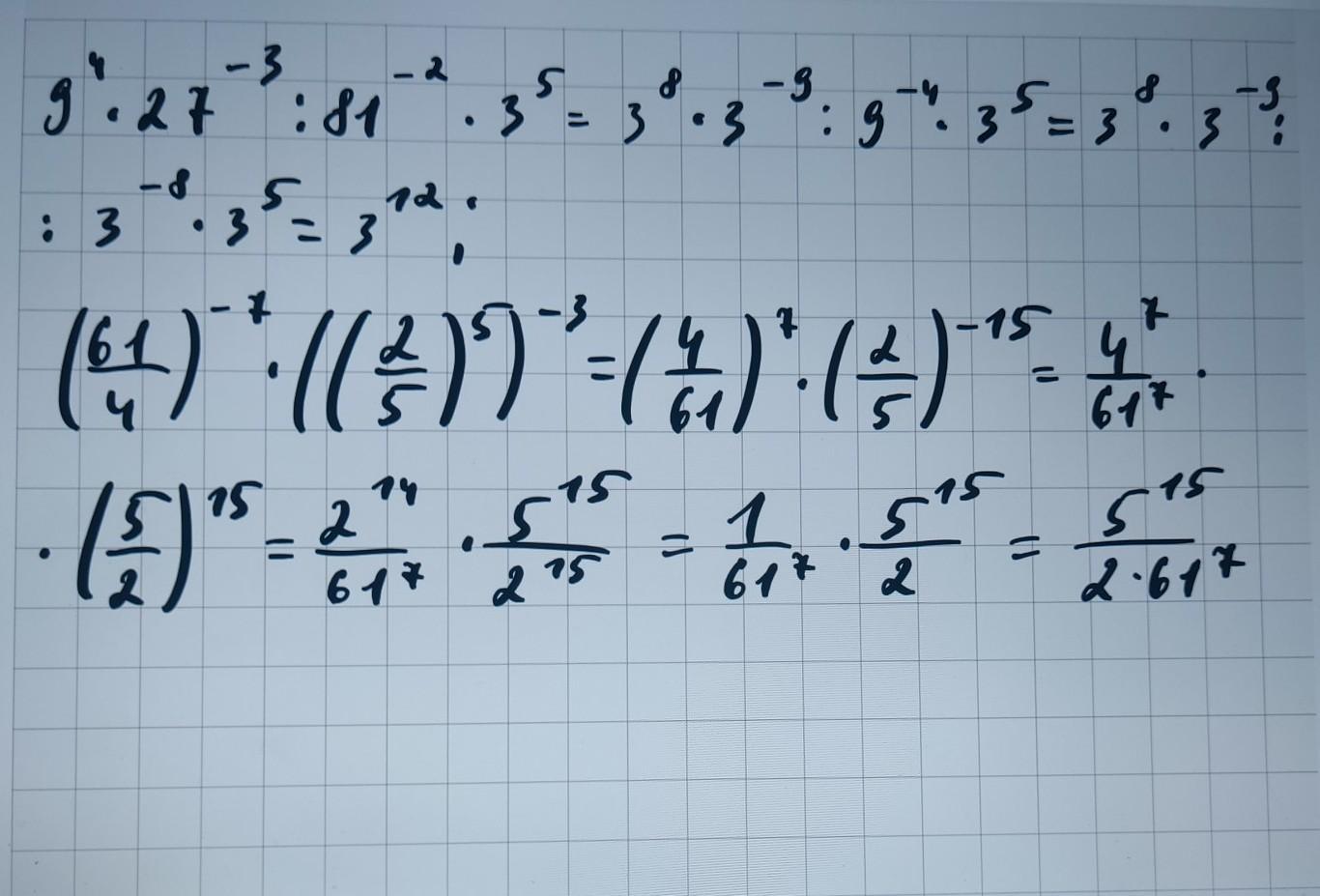
СРОЧНО!!!!!!!! даю 40 балов. Знайдіть значення виразу 9^4×27^-3/81^-2×3^5; (61/4)^-7×((2/5)^5)^-3​

Ответы

Ответ дал: mqqrds
2

Ответ:

Если что-то непонятно, напиши в комментах :)

Приложения:

mqqrds: можу, якщо це не геометрія
mqqrds: у мене проблеми з нею((
svradko7: Пободуй графік функції у={-10/x якщо x <-2 и 1-2x якщо x >- 2
svradko7: Заранее спасибо!
mqqrds: сори, я сама не могу гарантировать точный ответ по графикам функций((
mqqrds: попробуй спросить кого-то другого
mqqrds: или погуглмть
mqqrds: прости ещё раз((
svradko7: да не чего
svradko7: спасибо
Вас заинтересует