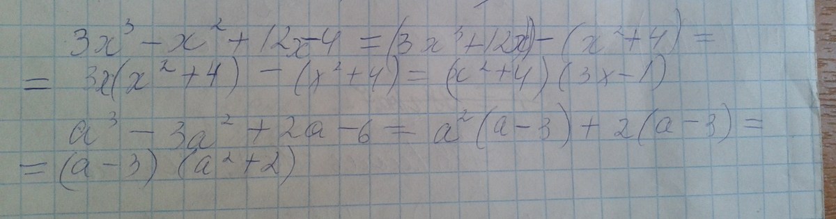
представьте многочлен в виде произведения двух двучленов 3x(в кубе)-х(в квадрате)+12-4;a(в кубе)-3а(в квадрате)+2а-6;Заранее спасибо.
Ответы
Ответ дал:
0
если что-то непонятно,спроси
Приложения:

Вас заинтересует
2 года назад
2 года назад
8 лет назад
10 лет назад
10 лет назад