• Предмет: Алгебра
  • Автор: polinaboykolutsenko
  • Вопрос задан 2 года назад

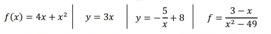
знайти облась визначення функції​

Приложения:

Ответы

Ответ дал: rmkiiphiil
1

Ответ:

Объяснение:

1)x∈R

2)x∈R

3)x≠0

4)x≠±7

Вас заинтересует