• Предмет: Алгебра
  • Автор: tinokz1098
  • Вопрос задан 2 года назад

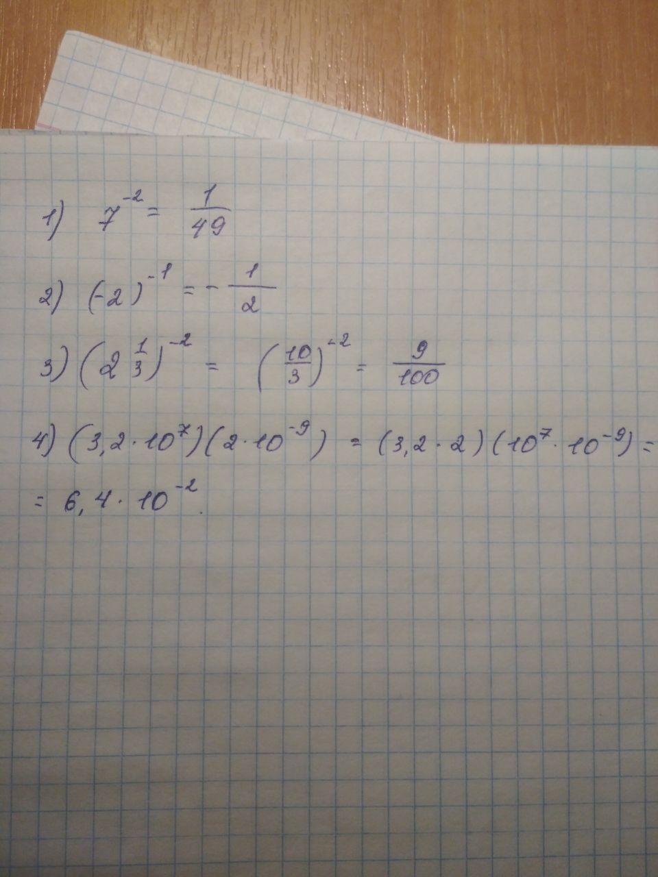
Обчисліть:

1) 7^-2

2) (−2)^-1


3) (2 ⅓)^-2

4) (3,2 ∙ 10^7)·(2·10^-9)

Ответы

Ответ дал: wdmsu
1

Пояснення но фото...............

Приложения:

tinokz1098: Велике дякую!
Вас заинтересует