Ответы
Ответ дал:
1
Объяснение:
вот ответ, это не сложно:)
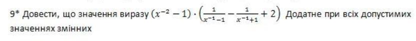
Приложения:

ikar691211:
А я то думал что это тяжело.... Забыл тему значит, спасибо
Вас заинтересует
1 год назад
1 год назад
1 год назад
3 года назад
3 года назад
8 лет назад