• Предмет: Математика
  • Автор: depplow
  • Вопрос задан 2 года назад

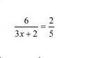
срочняюс ДАМ 20 БАЛЛОВ​

Приложения:

Ответы

Ответ дал: shorom
2

Ответ:

смотри на фото

Пошаговое объяснение:

.........

Приложения:
Вас заинтересует