• Предмет: Математика
  • Автор: aruzhanamongaz
  • Вопрос задан 2 года назад

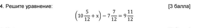
помогите решить уравнение на листке желательно пжж!!!

Приложения:

Ответы

Ответ дал: polinakroha03042011
0

Ответ:

9 11/2

Пошаговое объяснение:

Вас заинтересует