• Предмет: Биология
  • Автор: aallllllllinnea
  • Вопрос задан 2 года назад

ЗАДАЧА №4 СРРРРОООЧННННОООО ​

Приложения:

Ответы

Ответ дал: kykyryzoka19
1

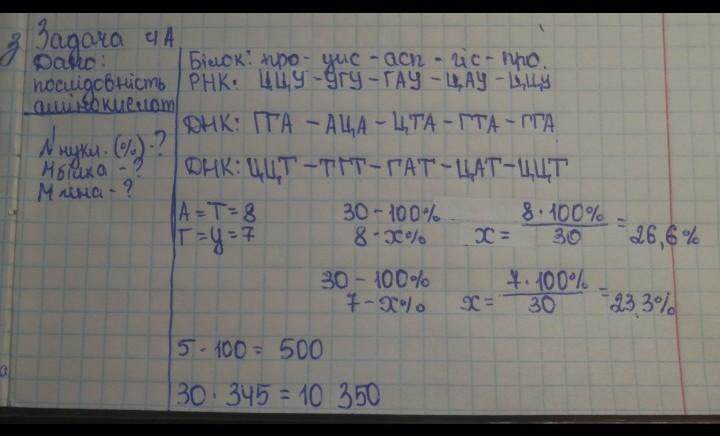
Ответ:

ось...............................

Приложения:
Вас заинтересует