Ответы
Ответ дал:
0
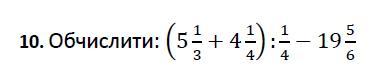
(16/3 + 17/4) /1/4 - 19/5/6
= ((64 + 51)/12) / 1/4 - 119/6
= (115/12) / 1/4 - 119/6
= 115/12 x 4/1 - 119/6
= 115/3 - 119/6 = (230 - 119) /6 = 111/6 = 19/2/6
= ((64 + 51)/12) / 1/4 - 119/6
= (115/12) / 1/4 - 119/6
= 115/12 x 4/1 - 119/6
= 115/3 - 119/6 = (230 - 119) /6 = 111/6 = 19/2/6
Вас заинтересует
2 года назад
2 года назад
2 года назад
2 года назад
3 года назад
3 года назад
9 лет назад
9 лет назад