• Предмет: Алгебра
  • Автор: tstorozenko21
  • Вопрос задан 2 года назад

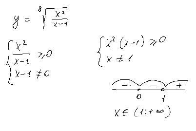
Яка область визначення функцииb

Приложения:

Ответы

Ответ дал: dashulka22222
1

Відповідь:

Б

Пояснення:

Приложения:

Аноним: здравствуйте вы не могли бы мне помочь с геометрией пожалуйста умоляюю
Вас заинтересует