• Предмет: Алгебра
  • Автор: Аноним
  • Вопрос задан 2 года назад

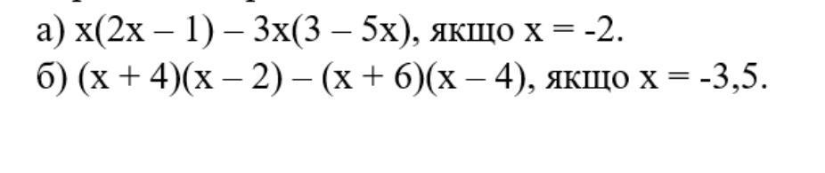
СРООЧНО!!!
Потрібно спростити вираз

Приложения:

Ответы

Ответ дал: valikvuek
1

Ответ:

сорі брат на б скрін не вставляється

Приложения:
Ответ дал: tea409558
1

...........................................

Приложения:

Аноним: А 2?
Аноним: Модно пожалуйста ещё 2?
Аноним: Можно*
Вас заинтересует