• Предмет: Геометрия
  • Автор: Иика
  • Вопрос задан 10 лет назад

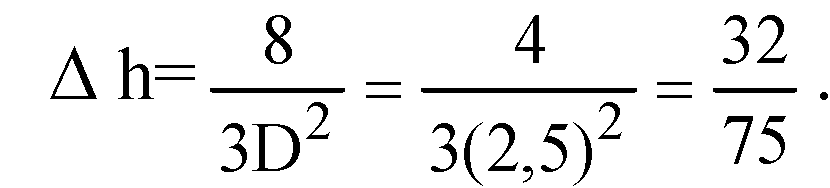
В цилиндрическую мензурку диаметром 2,5 см.,наполненную водой до некоторого уровня,опускают 4 равных металлических шарика диаметром 1 см.На сколько изменится уровень воды в мензурке?

Ответы

Ответ дал: ArinkaPa
0
Вот) надеюсь поможет;)
Приложения:
Ответ дал: Иика
0
да,спасибо)
Вас заинтересует