• Предмет: Алгебра
  • Автор: sigmakinnbsd
  • Вопрос задан 2 года назад

Помогите, пожалуйста, решить. Я вам 85 баллов дам

Приложения:

bolotina598: Тебе нужен ответ с разъяснениями?
sigmakinnbsd: если не трудно
bolotina598: Я с дробями неочень не знаю чем помочь, ну а в первом задании 2 могу, 3 полностью могу сделать и 5 тоже
bolotina598: Попроси кто сможет помочь с дробями
sigmakinnbsd: хорошо, отлично, этого тоже достатачно
sigmakinnbsd: а с дробями я точно разберусь
bolotina598: ❤️

Ответы

Ответ дал: bolotina598
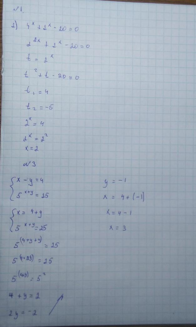
1

 ответ на фото

Надеюсь помогла

Приложения:

sigmakinnbsd: спасибо большое
bolotina598: ❤️
Вас заинтересует