• Предмет: Алгебра
  • Автор: aeeoo134
  • Вопрос задан 2 года назад

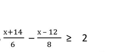
Розв’яжіть нерівність x+14/6 -x-12/8 > 2
Заданих на фото!!
Срочно

Приложения:

Ответы

Ответ дал: putthetopofmoney
1

Ответ:

Нет решений

Объяснение:

Перенесем x с одной стороны равенства на другую:

x+14/6 -x-12/8 ≥ 2

→ x+14/6 - x - 12/8 ≥ 2

→ 14/6 - 12/8 ≥ 2

→ 14/6 - 3/2 ≥ 2

→ 7/3 - 3/2 ≥ 2

→ 1/3 ≥ 2

Это неравенство ложно, так как 1/3 < 2.


aeeoo134: Можете пожалуйста на списать в театради,кину еще Балов
Вас заинтересует