• Предмет: Алгебра
  • Автор: seredan2010
  • Вопрос задан 2 года назад

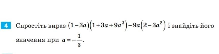
дуже треба!!!!!!!!!!!!!​

Приложения:

Ответы

Ответ дал: akcav
0

Ответ:

0

Объяснение:




seredan2010: чел тут розписувати траба
Ответ дал: samadova2005
0
Ответом будет: 7,а ход решения на фотографии
Приложения:
Вас заинтересует