• Предмет: Математика
  • Автор: nikita10lukichev
  • Вопрос задан 2 года назад

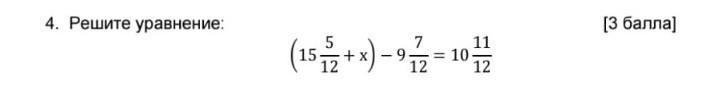
1. решите уровнение (15 5/12+x) - 9 7/12 = 10 11/12 СРОЧНО​

Приложения:

Ответы

Ответ дал: altemirsovetkali09
0

Ответ:

x=61/12 поставь лучший ответ, и не за что

Приложения:
Вас заинтересует