• Предмет: Алгебра
  • Автор: WaLoGeR
  • Вопрос задан 2 года назад

Даю 100 балов
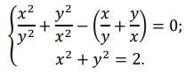
Решите систему уравнений

Приложения:

Ответы

Ответ дал: artemzisens
0

Ответ:тут по факту можно иксыскоротить х+у и х+у в дроби скобках будет 0 и там где нет скобак с дробьей все скоротить потомучто крест накрест скарачиваеться будет ответ ноль то что ниже хквадрат+уквадрат =2 это посчитай за 1 если 1квадрат и 1 квадрать будет 2 потомучто 1 умножить на1 будет 1

Объяснение:


WaLoGeR: спасибо большое
Вас заинтересует