• Предмет: Физика
  • Автор: yanechenez
  • Вопрос задан 2 года назад

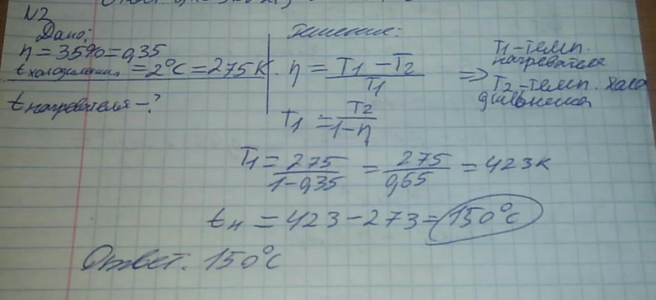
4. КПД идеальной тепловой машины 35%. Какова температура
нагревателя, если температура холодильника 2 °С?

Ответы

Ответ дал: callofdutyf207
0

Объяснение:

(P.S взяла у другого человека, что бы не тратить время на долгую писанину и успеть помочь.)

Приложения:
Вас заинтересует