• Предмет: Математика
  • Автор: sagdianatasbolat
  • Вопрос задан 2 года назад

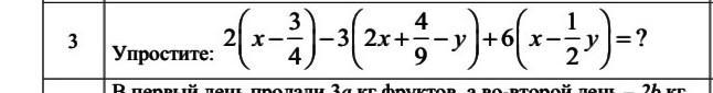
помогите пожалуйста срочно 100баллов даю ​

Приложения:

Ответы

Ответ дал: iramazurk
1

Пошаговое объяснение:

2(х - 3/4) - 3(2х + 4/9 - у) + 6(х - 1/2у) =

2х - 6/4 - 6х - 12/9 + 3у + 6х - 6/2у =

2х - 1 2/4 - 6х - 1 3/9 + 3у + 6х - 3у =

(2х - 6х + 6х) + (3у - 3у) + (-1 2/4 - 1 3/9) =

2х + 0 + (-1 18/36 - 1 12/36) =

2х + (-2 30/36) = 2х - 2 30/36 = 2х - 2 5/6


sagdianatasbolat: спс
Вас заинтересует