• Предмет: Алгебра
  • Автор: linagrace3
  • Вопрос задан 2 года назад

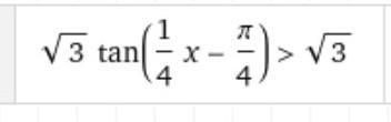
решите неравенство: корень3 tg (1/4 х-п/4)>корень3
ПОМОГИТЕ ПОЖАЛУЙСТА СРОЧНО!!!​

Приложения:

Ответы

Ответ дал: MizoriesKun
1

Смотри.................

Приложения:

linagrace3: спасибо огромное
Вас заинтересует