• Предмет: Алгебра
  • Автор: baunti13
  • Вопрос задан 2 года назад

Помогите, пожалуйста!!!!!!!!!!!!!!
Тут нужно всё расписать .. Прошу полный ответ ​

Приложения:

Аноним: Привіт, хто з Оптіми приєднуйтеся до нашого Discord серверу для учнів optima - discord.gg/optimacommunity
Тут ми спілкуємося і скидаємо відповіді на тести.
hellolox39230438: Привіт, хто з Оптіми приєднуйтеся до нашого Discord серверу для учнів optima -
discord.gg/optimacommunity
Тут ми спілкуємося і скидаємо відповіді на тести.

Ответы

Ответ дал: MizoriesKun
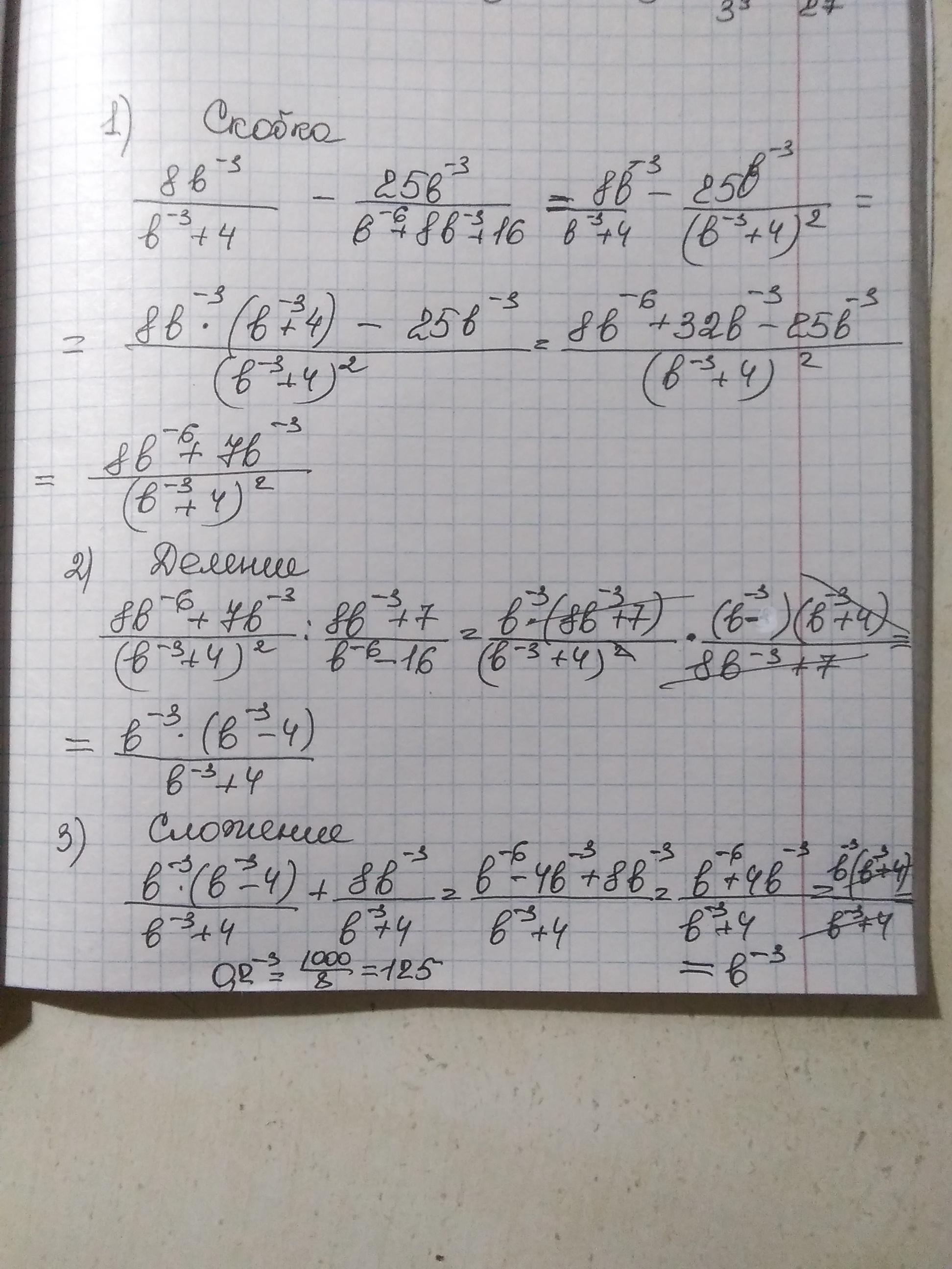
1

Смотри....................

Приложения:

baunti13: Спасибо!!!!!!!!!!!!!!!!!!!!!!!!!!!!!!!!!!!!!!!!!!!!!!!!!!!!!!!!!!!!!!!!
baunti13: А что за слово после 3) ? Я просто почерк чуть не поняла
MizoriesKun: Сложение
Вас заинтересует