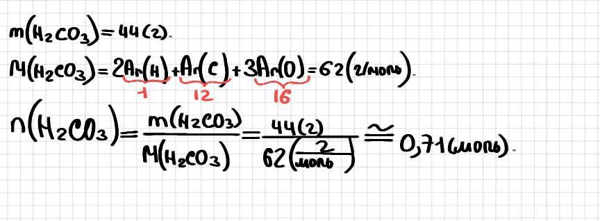
Молярная масса Найдите количество вещества 44гр угольной кислоты. Формула угольной кислоты H2CO3
(Правильно или нет?)
                        
                                    Приложения:
                    
                            Ответы
                                            Ответ дал: 
                                                                                    
                                        
                                            
                                                
                                                
                                                
                                                    1
                                                
                                            
                                        
                                    Последняя строчка смущает.
Посмотрите внимательно решение в файле (ответ округлëн то сотых).
Приложения:
                    
                            Вас заинтересует
                
                        1 год назад
                    
                
                        1 год назад
                    
                
                        1 год назад
                    
                
                        1 год назад
                    
                
                        3 года назад
                    
                
                        8 лет назад