Ответы
Ответ дал:
1
Ответ:
Если что-то непонятно, напиши в комментах :)
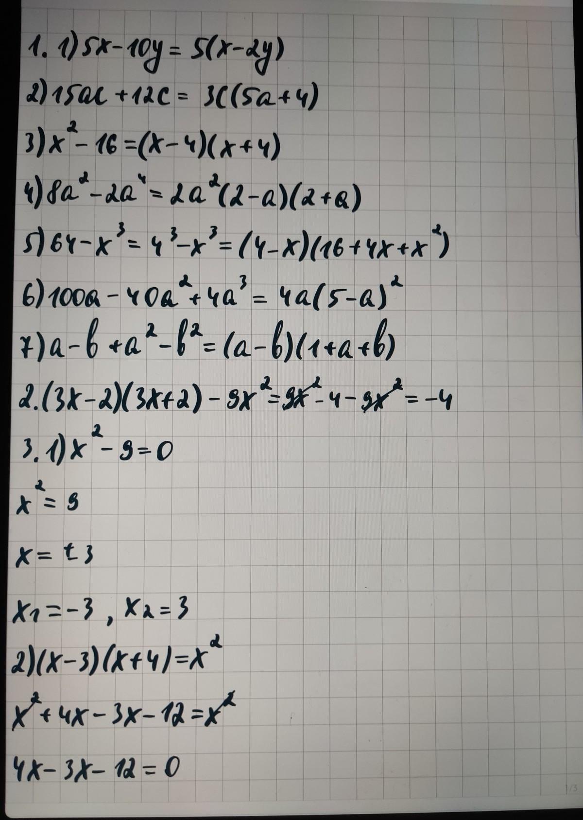
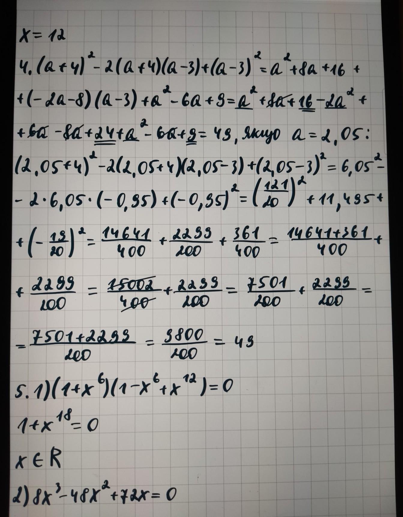
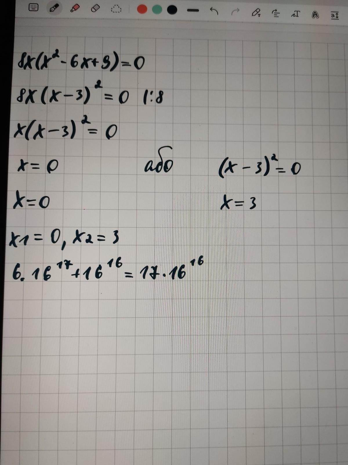
Объяснение:
Можно лучший ответ, если не трудно, пожалуйста?(
Приложения:



Вас заинтересует
1 год назад
1 год назад
1 год назад
3 года назад
8 лет назад