• Предмет: Алгебра
  • Автор: Annetsstt
  • Вопрос задан 2 года назад

помогите пожалуйста ​

Приложения:

Ответы

Ответ дал: nastalamina
1

Объяснение:

будет (х-2)²-(х-5) вот как то так

Ответ дал: dobra888
1

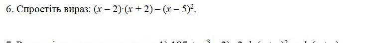
Відповідь:     10x - 29 .

Пояснення:

       6 .  ( x - 2)( x + 2 ) - ( x - 5 )² = x² - 2² - ( x² - 10x + 5² ) = x² - 4 - x² +

            + 10x - 25 = 10x - 29 .

Вас заинтересует