• Предмет: Алгебра
  • Автор: juliodf
  • Вопрос задан 10 лет назад

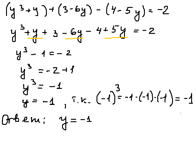
Решить уравнение:(у3+у)+(3-6у)-(4-5у)=-2

Ответы

Ответ дал: esmilya
0
Если понравилось решение - нажимай "спасибо" и "лучший" (рядом с кнопкой "спасибо") :)
Приложения:
Вас заинтересует