• Предмет: Алгебра
  • Автор: annabet357
  • Вопрос задан 2 года назад

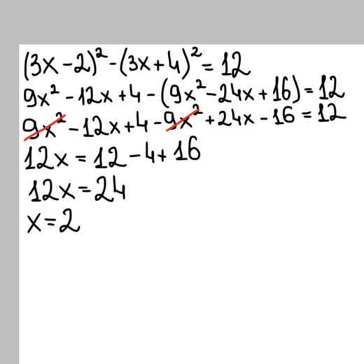
(3х-2)²-(3х+4)²=12
Помогите пожалуйста решить

Ответы

Ответ дал: conia53
0
Правильна відповідь на фото)
Приложения:
Вас заинтересует