Срочно нужна ваша помощь!
Я даю 100 баллов за правильный ответ ( кто будет писать бред чтобы забрать 100 баллов, улетают в бан!)
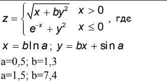
Надо сделать это задачу на языке "C"
Я буду очень благодарен и поставлю оценку 5 за помощь!
Приложения:

enxt:
ты про это задание
Ответы
Ответ дал:
1
#include <stdio.h>
#include <math.h>
double func(int a, int b) {
double x = b * log(a);
double y = b * x + sin(a);
double result;
if (x > 0) {
result = sqrt(x + b * pow(y, 2));
}
else {
result = exp(-x) + pow(y, 2);
}
return result;
}
int main() {
printf("a\tb\tz\n");
printf("=======================\n");
printf("0,5\t1,3\t%f\n", func(0.5, 1.3));
printf("1,5\t7,4\t%f\n", func(1.5, 7.4));
return 0;
}
попробуй, может помог
Вас заинтересует
1 год назад
1 год назад
1 год назад
3 года назад
3 года назад
8 лет назад
8 лет назад