• Предмет: Математика
  • Автор: oqoltin777
  • Вопрос задан 2 года назад

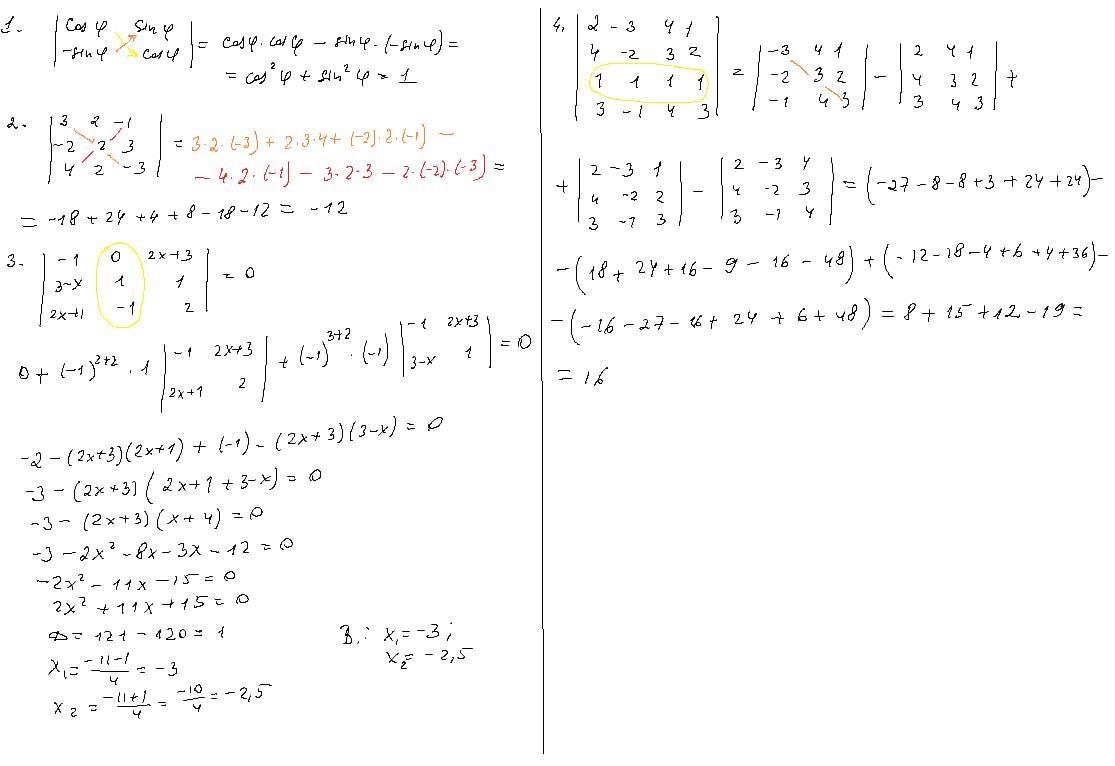
помогите пожалуйста..​

Приложения:

Ответы

Ответ дал: dashulka22222
1

Відповідь:

Покрокове пояснення:

Приложения:
Вас заинтересует