• Предмет: Физика
  • Автор: yarioshi123
  • Вопрос задан 2 года назад

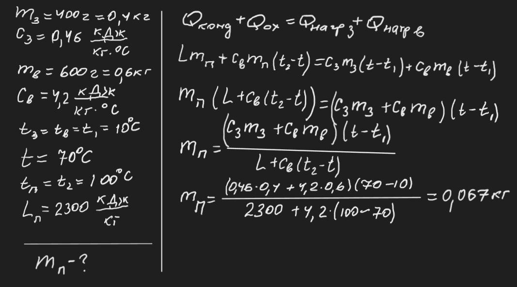
Допоможіть З розрахунками даю 90 балів 10. У залізному стакані масою 400 г міститься 600 г води за температури 10°С. У нього впускають водяну пару за температури 100°С. Після завершення теплообміну темпера- тура в стакані дорівнює 70°С. Скільки водяної пари впустили в стакан


Аноним: Я все-таки не понимаю, каких данных не хватало модераторам Аллочке19 и РеМиДе, что они удалили задачи https://znanija.com/task/51037058 https://znanija.com/task/51049268 ВОТ РЕШИЛИ ЖЕ ЛЮДИ - https://znanija.com/task/51097072 Так в чем тогда проблема? Может быть проблема в том, что эти модераторы полностью некомпетентны? На вопросы по своим же удалениям не отвечают, пользователей, задающих им вопросы об этом, блокируют.

Ответы

Ответ дал: lvv9136
1

Ответ:

66,8 г.

Объяснение:

Приложения:
Ответ дал: zybkov1950
0

Відповідь: ≈ 67 г

Пояснення:

Приложения:
Вас заинтересует