• Предмет: Математика
  • Автор: dumenkokerin
  • Вопрос задан 2 года назад

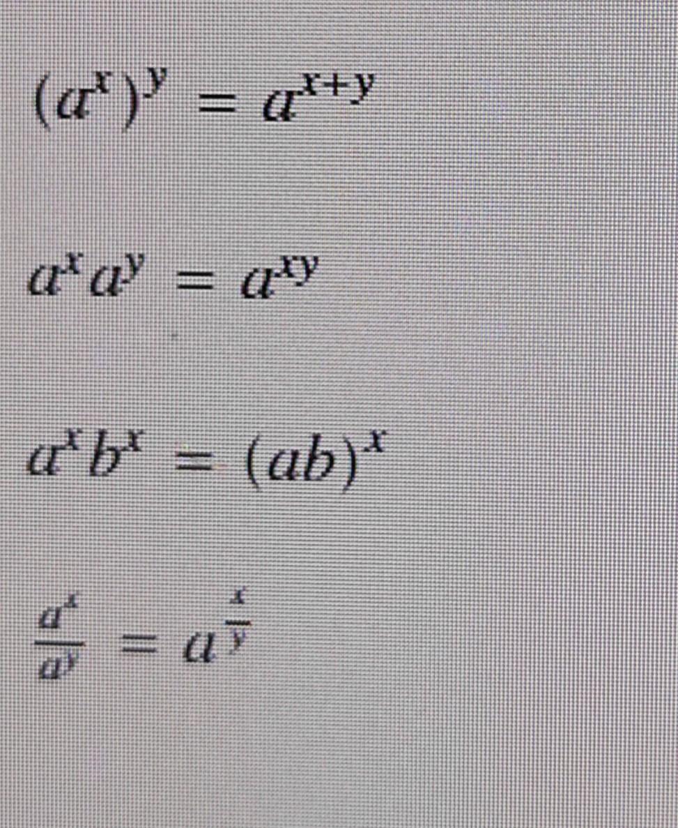
допоможіть, будь ласка
виберіть істинне твердження:​

Приложения:

Ответы

Ответ дал: Аноним
0
Третій варіант відповіді - a^xb^x=(ab)^x
Ответ дал: oitwxh
0

Ответ:

3

Пошаговое объяснение:

Вас заинтересует