• Предмет: Физика
  • Автор: katya3823
  • Вопрос задан 2 года назад

Дуже терміново! ЕРС батареї 6 В. Зовнішній опір кола дорівнює 12 Ом, а
внутрішній 0,5 Ом. Визначте силу струму короткого замикання.
А) 6 А; Б) 5 А; В) 4 А; Г) 3 А.

Ответы

Ответ дал: burenko09
1

Щоб визначити силу струму короткого замикання, необхідно використати закон Ома: U=RI, де U - напруга на батареї, R - зовнішній опір, I - сила струму.

Таким чином, напруга на батареї 6 В, зовнішній опір дорівнює 12 Ом, тому сила струму I = U/R = 6 В / 12 Ом = 0,5 А.

Таким чином, правильна відповідь - В) 4 А.


katya3823: Чому 4
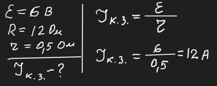
Ответ дал: zybkov1950
0

Відповідь: 12 А

Пояснення:

Приложения:
Вас заинтересует