• Предмет: Алгебра
  • Автор: broung95
  • Вопрос задан 2 года назад

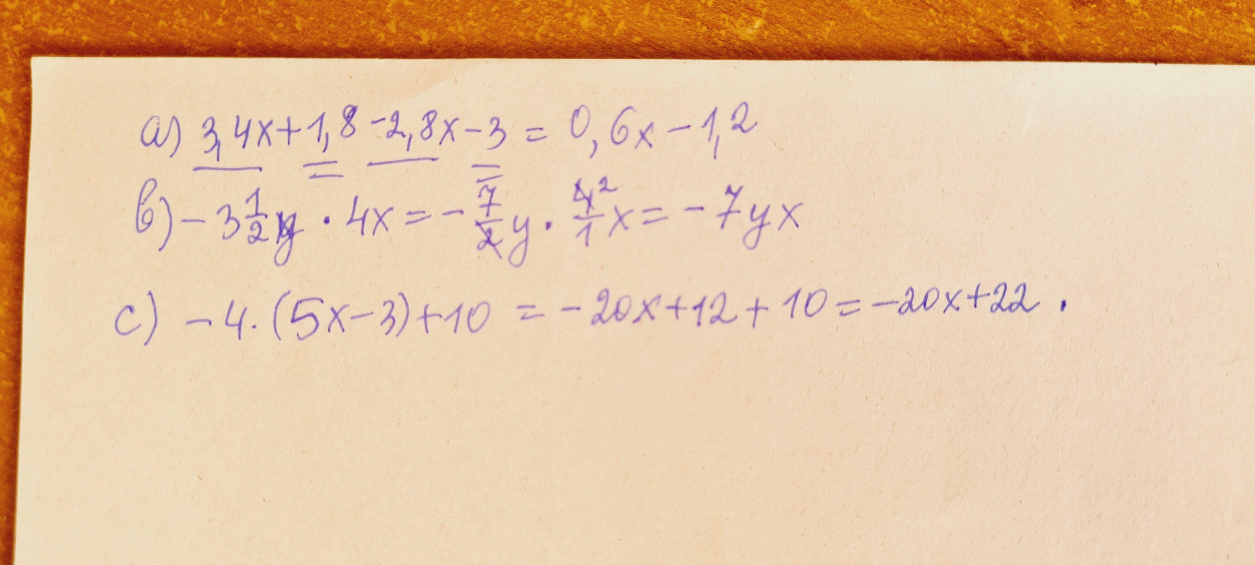
2) Преобразуйте выражения в тождественно равные. ​

Приложения:

Ответы

Ответ дал: ainashkarimova
1

Ответ: смотри фото

Объяснение:

а)привести подобные слагаемые

б)смешанное число представить в виде неправильной дроби и умножить на 4, выполнить сокращение

с) раскрыть скобки, умножить -4 на каждое слагаемое в сеобке, не забыть запри этом, что при умножении двух отрицательных чисел, знак меняется на плюс, затем выполнить приведение подобных слагаемых

Приложения:
Вас заинтересует