Ответы
Ответ дал:
0
Ответ:
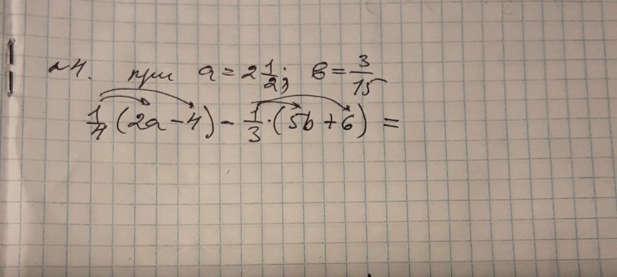
a=2,5 b=3/15
1/4(2a-4)-1/3(5b+6)
1/4(2•2,5-4)-1/3(5•3/15+6)
(1,25-1)-(3/4+2)
0,25-2,75= -2,5
Пошаговое объяснение:
.
Ответ дал:
0
Ответ:
смотри
Пошаговое объяснение:
Приложения:

Вас заинтересует
1 год назад
1 год назад
1 год назад
3 года назад
8 лет назад